Acoustic Energy
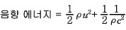
음향 에너지
음장(音場)은 음압(音壓)과 입자 속도(粒子速度)로서 표현되며, 음향 에너지는 입자의 움직이는 속도에 의한 운동 에너지와 단위 체적 내의 체적 변형률(Strain)에 의한 위치 에너지의 합으로 정의된다.
따라서 를 입자의 밀도,
를 입자 속도라 할 때 단위 체적당 운동 에너지는
로 표현되고, 음압을
로 표현된다. 또한 평면파의 경우 시간평균 위치 에너지와 운동 에너지는 서로 같게 된다. 체적의 변형률과 음압과의 관계를 이용하면 일반적인, 음장에 대해 단위 체적당 음향 에너지는 음속을
라 할 때 다음과 같이 표현할 수 있다.
![]() |
Acoustic Filter
음향 여파기
전기적인 여파기는 전기 회로 요소인 코일(inductance), 콘덴서(capacitance) 및 저항(resistance)으로 구성되며 원하는 주파수 범위의 신호를 여과한다. 이에 대응하는 개념인 음향 여파기(필터)는 질량(inertia), 순음성(compliance) 및 저항(resistance)을 이용하여 원하는 음의 주파수 대역을 통과 또는 소거시키는 기구이다. 저주파대역 통과 여파기는 관의 단면적의 변화에 따른 임피던스 변화에 의해 얻을 수 있으며, 일정 대역 소거 여파기는 공명 장치를 이용하고, 고주파대역 통과 여파기는 관의 벽에 공극을 두는 형태로서 얻을 수 있다.

Acoustic Impedance
음향 임피던스
① 음향 임피던스
는 음압과 체적 속도의 비로서 정의된다. 단위는
또는
를 acoustical ohm으로 나타낸다.
② 음향 임피던스는 음향의 전파 현상을 비롯한 모든 현상을 설명하는데 보편적으로 사용되는 물리량으로서 일반적으로 복소수로 나타낸다. 즉 음향 임피던스가 실수부만 있을 경우에는 음압과 속도가 같은 위상임을 의미하며 허수부만 있을 경우는 위상차가 90 °만큼 있음을 의미한다. 결국 음파가 반사되는 위상 및 크기는 이 음향 임피던스의 크기 및 위상으로 결정된다.
③ 기계 임피던스(mechanical impedance)는 힘과 속도와의 비로서 정의하며,
으로 표현하고
또는
을 mechanical ohm으로 하는 단위를 갖는다.
④참고)
음향 특성 임피던스(acoustic characteristic impedance)
파동 임피던스(wave impedance)
비 음향 임피던스(specific acoustic impedance)

Acoustic Leak
음향 누수
음원으로부터 방사된 음이 관심 영역의 밖으로 빠져 나가는 현상으로, 건물의 내부로부터 벽을 투과하거나, 벽의 틈, 창문 또는 환풍 기구 등을 통하여 음이 빠져 나가는 현상을 말한다.

Acoustic power
음향 파워
음원으로부터 단위시간당 방사되는 음향 에너지로 정의된다. 음향 파워의 측정은 음원을 둘러싸는 임의의 가상면에서 음향 인텐시티
를 구한 후 그 면적의 곱을 적분하여 얻는 것이 일반적이다.
Acoustic Resistance
음향 저항(音響抵抗)
음향계의 저항으로서 음향 임피던스의 실수부를 뜻하며 음의 소산(dissipation)에 관한 정도를 나타낸다.

는 음향 임피던스,
은 실수부,
는 허수부를 의미하며 이때
이 음향 저항(acoustic resistance)이다.
Acoustic Screen
음향 막
음향 탐촉자 앞쪽의 보호 격자(protecting grill)처럼 일정 주파수 이상에서 음파의 차단효과를 갖는 막을 의미한다.
Acoustics
음향학
소리(음향)와 관련된 모든 학문 분야를 뜻하는 일반적인 말로서 소리의 생성, 전파, 그리고 그 영향을 포함한 소리에 대한 과학을 의미한다. 음향학의 연구 분야는 구조물의 진동 및 공기의 교란에 의하여 발생하는 음파에 관한 연구와, 음향 기기 관련된 음향, 건축 음향, 기계 구조물의 소음 및 인간의 청취 기관 등에 이르는 다양한 연구 분야가 있다.
Actuator
액추에이터
원하는 동작(변위, 속도, 가속도)을 얻기 위한 구동원으로서 모타, 전자석, 유압 및 공압 장치 등을 이용할 수 있다. 정밀한 실험을 위한 액추에이터의 경우에는 보다 구체적인 요구 사항이 첨가되는 것이 일반적이다. 즉 액추에이터의 선형성, 최대 변위, 속도, 가속도, 동적 범위(dynamic range) 또는 주파수별 구동할 수 있는 최대 및 최소 변위, 속도, 가속도 등으로 구체적인 특성이 표현된다.
Admittance
어드미턴스
임피던스의 역수를 나타낸다. 임피던스에 비하여 일반적으로 진동, 모드 해석 등의 분야에 많이 사용되는 경향이 있다. 이는 어드미턴스가 힘 혹은 압력에 대한 속도이므로 어떠한 힘을 주었을 때 응답을 고찰하는 것이 물리적으로 이해하기 쉽기 때문이다. 참고) 임피던스
COPYRIGHT 2016 ⓒ KSNVE ALL RIGHTS RESERVED.
본 사이트는 인터넷 익스플로러 10버전 이상에서 최적화 되었습니다. 보안과 최적화를 위해 인터넷 익스플로러를 업데이트 해주세요.