단극자
Monopole
음파의 파장에 비하여 충분히 작은 신축 운동을 하는 물체에 의하여 방사되는 음장의 음원을 뜻하며 점음원이라고도 한다. 대표적인 단극자 음원은 엔진의 배기구에서 맥동적인 유체의 방출과 함께 방사되는 저주파음이나 폭발음 및 기포의 맥동에 의한 음이 있다. 단극자는 모든 방향으로 균일한 음을 방사하는 무지향성 음원으로서 임의의 음원을 구성하는 가장 기본적인 단위이다. 위상이 반대인 두 개의 단극자는 쌍극자(dipole), 4개의 단극자는 4극자(quadrupole)음원을 형성하게 된다.
단극자의 수학적인 표현은


단순 음원
Simple Source
음원의 특성 길이(characteristic length)가 파장에 비해 매우 짧은 음원으로 음원 표면의 세세한 운동은 음원의 특성에 영향을 주지 않는다. 특별히 단극, 쌍극, 4극자 음원을 가르쳐 단순 음원이라 하기도 한다. 참고) 컴팩트 음원(compact source)
대기압
Ambient Pressure
중력장에 의해 존재하는 대기의 압력으로 지구표면에서 약 1 bar 정도의 정압을 갖는다. 참고) 대기 정압
대기정압
Ambient Static Pressure
대기중에 음파가 존재하지 않는 경우의 압력을 뜻한다. 참고) 대기압
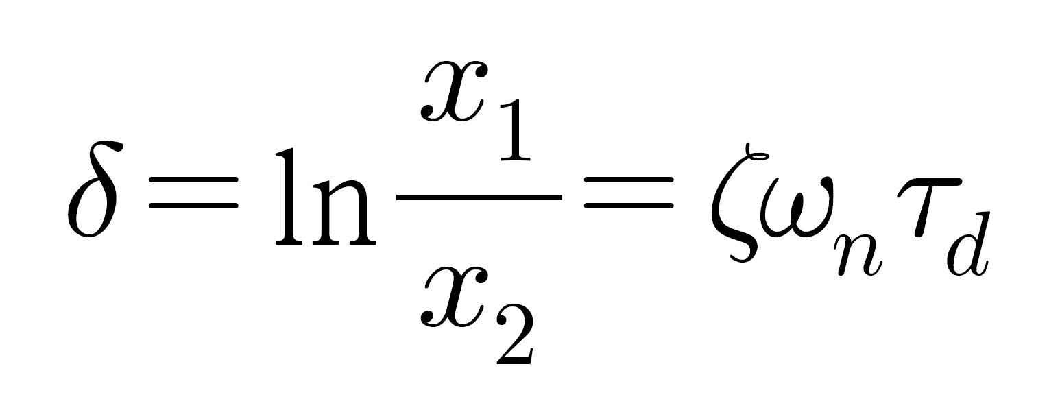
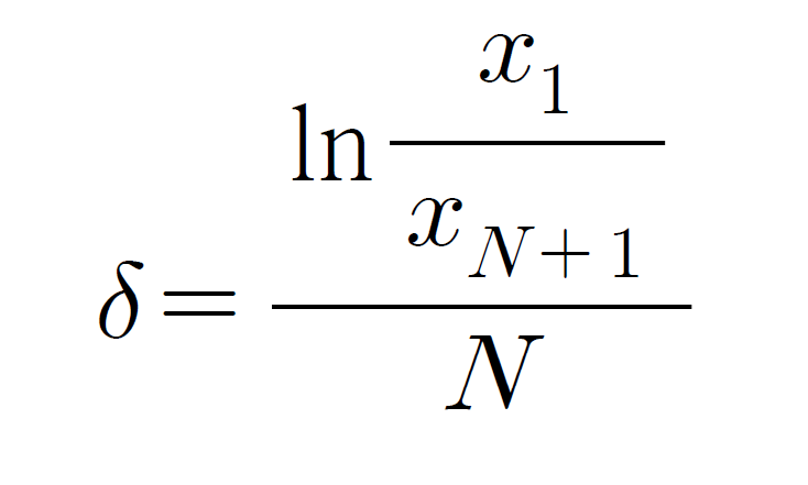
대수 감쇠율
Logarithmic Decrement Ratio
대수 감쇠율은 감쇠 자유 진동(damped free vibration)의 진폭(amplitude)이 감쇠하는 정도를 나타내며 연속적인 두 진폭(amplitude)의 비에 자연 대수를 취한 것으로 정의된다.

는 대수 감쇠율,
는 감쇠 자유진동의 주기
는 감쇠비(damping ratio),
는 비감쇠 고유 진동수(undamped natural frequency)이다.

대신
,즉 
대역 폭(帶域 幅)
Bandwidth
일반적으로 주파수의 폭을 말한다. 여과기를 통과하는 주파수 범위, 또는 여과기에 의해 소거되는 주파수 범위를 기술하는 경우에 많이 이용되는 용어이다. 이러한 주파수 대역 폭은 옥타브 대역을 해석하는 경우의 중심 주파수를 기준으로 하는 일정한 비율을 갖는 일정 비율 대역 폭(constant percentage bandwidth)과, 중심 주파수에 관계없이 일정한 대역 폭을 갖는 일정 대역 폭(constant bandwidth)으로 구분된다.
이외에도 주파수 응답 선도에서 공진 주파수를 중심으로 응답 크기가 3 dB 떨어지는 주파수 범위를 의미하기도 한다.
참고) 일정 비율 대역 폭 :
일정
일정 대역폭 :
일정
(
은 하한 주파수,
는 상한 주파수,
는 중심 주파수)
대화 간섭 레벨, 회화 방해 레벨
Speech Interference Level(SIL)
대화를 나누는데 있어서 주변 소음의 영향을 고려할 필요가 있으며, SIL은 이러한 평가를 위한 것으로 보통 우선 대화 간섭 레벨(preferred speech interference level (PSIL))로써 판단한다. 우선 대화 간섭 레벨은 다음과 같은 방법으로 정의된다.
.jpg)
은 각각 500 Hz, 1000 Hz, 2000 Hz의 중심 주파수를 갖는 옥타브 대역에서의 음압 레벨을 의미하며, 해당 주파수 대역의 주변 소음(background noise)이 클수록 PSIL값이 커지므로 대화에 많은 간섭을 받게 된다.
데케이드
Decade
주파수 폭 혹은 비에 대한 용어로서, 임의의 주파수에서 부터 10배의 주파수 대역을 의미한다. 일반적으로 해석하고자 하는 물리량을 데시벨 단위로 표현할 경우 dB/decade로 그 대략적인 추세를 표현한다. 음향학에서 사용하는 데케이드는 3개의 옥타브(octave) 주파수 대역과 1개의 1/3 옥타브(1/3 octave) 대역의 합을 의미한다. 따라서 엄밀한 의미에서 기준 주파수에 대하여 10배는 아니지만, 통상
도선 축전량
Cable Capacitance
도선(전선)의 콘덴서 성질에 의한 도선의 축전 용량을 뜻한다.
도약현상
Jump Phenomenon
경화 혹은 연화 스프링과 같은 비선형 시스템의 진동계에서 가진 주파수가 서서히 증가 혹은 감소될 때 공진 주파수 영역에서 주파수 응답 특성이 불연속적으로 변하는 현상으로 실험적으로 관찰할 수 있다. 이러한 현상을 도약현상이라 한다.

COPYRIGHT 2016 ⓒ KSNVE ALL RIGHTS RESERVED.
본 사이트는 인터넷 익스플로러 10버전 이상에서 최적화 되었습니다. 보안과 최적화를 위해 인터넷 익스플로러를 업데이트 해주세요.